
一、制动电阻基础定义
制动电阻是用于将电动机的再生能量以热能方式消耗的载体,它包括电阻阻值和功率容量两个重要的参数。通常在工程上选用较多的是波纹电阻和铝合金电阻两种:波纹电阻采用表面立式波纹有利于散热减低寄生电感量,并选用高阻燃无机涂层,有效保护电阻丝不被老化,延长使用寿命,台达原厂配置的就是这样的电阻;铝合金电阻易紧密安装、易附加散热器,外型美观,高散热性的铝合金外盒全包封结构,具有极强的耐振性,耐气候性和长期稳定性;体积小、功率大,安装方便稳固,外形美观,广泛应用于高度恶劣工业环境使用。
构件:
①陶瓷管:是合金电阻丝的骨架,同时具有散热器的功效;
②合金电阻丝:扁带波浪形状,缠绕在陶瓷管表面上,负责将电机的再生电能转化为热能;
③涂层:涂在合金电阻丝的表面上,具有耐高温的特性,功用是阻燃。
功能:
①、保护变频器不受再生电能的危害
电机在快速停车过程中,由于惯性作用,会产生大量的再生电能,如果不及时消耗掉这部分再生电能,就会直接作用于变频器的直流电路部分,轻者,变频器会报故障,重者,则会损害变频器;制动电阻的出现,很好的解决了这个问题,保护变频器不受电机再生电能的危害。
②、保证电电源网络的平稳运行
制动电阻将电机快速制动过程中的再生电能直接转化为热能,这样再生电能就不会反馈到电源电网络中,不会造成电网电压波动,从而起到了保证电源网络的平稳运行的作用。
二、制动电阻阻值的选择
制动电阻的选择除受到变频器专用型能耗制动单元最大允许电流的限制外,与制动单元也并无明确的对应关系,其阻值主要根据所需制动转矩的大小选择,
功率根据电阻的阻值和使用率确定。 制动电阻阻值的选定有一个不可违背的原则:应保证流过制动电阻的电流IC小于制动单元的允许最大电流输出能力,即:R > Umax/Ic
其中:
Umax为变频器直流侧所可能出现的最大直流电压。
Ic为制动单元的最大允许电流。
为充分利用所选用的变频器专用型能耗制动单元的容量,通常制动电阻阻值的选取以接近上式计算的最小值为最经济、同时还可获得最大的制动转矩,然而这需要较大的制动电阻功率。在某些情况下,并不需要很大的制动转矩,此时比较经济的办法是选择较大的制动电阻阻值、也因此可以减小制动电阻的功率,从而减少购买制动电阻所需的费用,这样的代价是制动单元的容量没有得到充分利用。
制动电阻电阻功率计算基础:
在选定了制动电阻的阻值以后,应该确定制动电阻的功率值,制动电阻功率的选取相对比较繁琐,它与很多因素有关。制动电阻消耗的瞬时功率按下式计算:
P 瞬= 7002 /R
按上式计算得到的制动电阻功率值是制动电阻可以长期不间断的工作可以耗散的功率数值,然而制动电阻并非是不间断的工作,这种选取存在很大的浪费,在本产品中,可以选择制动电阻的使用率,它规定了制动电阻的短时工作比率。制动电阻实际消耗的功率按下式计算:
P 额=7002 /R×rB% rB%:制动电阻使用率。
实际使用中,可以按照上式选择制动电阻功率,也可以根据所选取的制动电阻阻值和功率,反过来计算制动电阻所能够承受的使用率,从而正确设置,避免制动电阻过热而损坏。
制动电阻使用率确定:
制动电阻使用率规定了制动电阻的使用效率,以避免制动电阻过热而损坏,它会影响制动单元的制动效果。
制动电阻的使用率设置越低,电阻的发热程度越小,电阻上消耗的能量越少,制动效果越差。同时,制动单元的容量也没有得到充分利用。
理论上讲,制动电阻使用率为100%时,对制动单元容量的利用最充分,制动效果也最明显,然而这需要较大的制动电阻功率的代价,使用者应综合考虑。
在制动电阻阻值和功率都已经确定的前提下,对于减速较慢的大惯性负载,选取较低的电阻使用率会取得较好的效果。对于需要快速停机的负载,宜选取较大制动电阻使用率。
制动电阻的降额选择
按照上述方法计算得到的制动电阻功率是足够的,根据负载性质的不同,还可以进一步降额选择。
①、非重复制动
所谓非重复制动,是指拖动系统在一个相当长的时间内只有一次减速制动过程,因此制动电阻在该段时间内只有一次消耗能量的过程,制动电阻的功率也因此可以进一步减小,减小的幅度决定于制动电阻的耐冲击能力和单次减速制动的动作时间。
不考虑制动电阻耐冲击能力的因素,在非重复制动系统中,制动电阻的功率降额与单次减速制动时间的关系见下图:制动电阻降额功率与单次制动时间的关系图。

可见,在制动时间小于10S的情况下,制动电阻的功率可选择到降额到20%以下。
②、重复制动
有些机械是需要反复制动的,如起重机械和龙门刨床等,在重复制动且制动时间较短的情况下,制动电阻的选用功率P 选用与制动占空比(每次制动时间tb与每两次制动之间的时间间隔tc之比tb/tc)有近似线性关系。制动占空比越小,制动电阻功率的降额使用的幅度越大(P 选用/P 额越小)。通过下图:制动电阻功率与制动占空比的关系图可了解这种对应关系。

【注意】当制动时间较长且反复制动的情况下,制动电阻功率的选择应考虑留有一定的余量。
三、制动电阻电阻功率计算
基本概念:
目前市场上变频器的制动方法大致有三种:能耗制动,直流制动,回馈(再生)制动。
目前关于制动电阻的计算方法有很多种,从工程的角度来讲要精确的计算制动电阻的阻值和功率在实际应用过程中不是很实际,主要是部分参数无法精确测量。目前通常用的方法就是估算方法,由于每一个厂家的计算方法各有不同,因此计算的结果不大一致。
刹车使用率ED%:
制动使用率ED%,也就是台达说明书中的刹车使用率ED%。刹车使用率ED%定义为减速时间T1除以减速的周期T2,制动刹车使用率主要是为了能让制动单元和刹车电阻有充分的时间来散除因制动而产生的热量;当刹车电阻发热时,电阻值将会随温度的上升而变高,制动转矩亦随之减少。
刹车使用率ED%=制动时间/刹车周期=T1/T2*100%。(图1)

现在用一个例子来说明制动使用率的概念:10%的制动频率可以这样理解,如果制动电阻在10秒钟能够消耗掉100%的功率,那么制动电阻至少需要90秒才能把产生的热量散掉。
制动单元动作电压准位
当直流母线电压大于等于制动电压准位(甄别阈值)时,刹车单元动作进行能量消耗。变频制动电压准位如表1所示(示例)。
表一:电源电压的选择, 与PN直流电压的动作标准
|
230V级 AC电源电压 |
制动开始电压 +(P)、—(N)母线DC电压 |
460V级 AC电源电压 |
制动开始电压 +(P)、—(N)母线DC电压 |
|
190Vac |
330Vac |
380Vac |
660Vac |
|
200Vac |
345Vac |
400Vac |
690Vac |
|
210Vac |
360Vac |
415Vac |
720Vac |
|
220Vac |
380Vac |
440Vac |
760Vac |
|
230Vac |
400Vac |
460Vac |
800Vac |
|
240Vac |
415Vac |
480Vac |
830Vac |
|
容许输入电源有±10%的变动 | |||
制动电阻设计
①、工程设计。
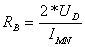
实践证明,当放电电流等于电动机额定电流的一半时,就可以得到与电动机的额定转矩相同的制动转矩了,因此制动电阻的粗略计算是:
UD──制动电压准位
IMN──电机的额定电流
为了保证变频器不受损坏,强制限定当流过制动电阻的电流为额定电流时的电阻数值为制动电阻的最小数值。选择制动电阻的阻值时,不能小于该阻值。
根据以上所叙,制动电阻的阻值的选择范围为:
制动电阻的耗用功率 当制动电阻在直流电压为的电路工作时,其消耗的功率为:
耗用功率的含义:如果电阻的功率按照此数值选择的话,该电阻可以长时间的接入在电路里工作。
现场中使用的电阻功率主要取决于刹车使用率ED%。因为系统的进行制动时间比较短,在短时间内,制动电阻的温升不足以达到稳定温升。因此,决定制动电阻容量的原则是,在制动电阻的温升不超过其允许数值(即额定温升)的前提下,应尽量减小容量,粗略算法如下:
λ为制动电阻的降额系数
RB为实际的选用电阻阻值
PB为制动电阻的功率
ED%为制动使用率
设计举例
根据以上的公式我们可以大致的推算出来我们需要的制动电阻的阻值和功率。以台达VFD075F43A变频器驱动7.5KW的电机作为例来说明,7.5KW电机额定电流是18A,输入电压AC460,则有:
因此制动电阻的阻值取值范围:
44.4<R≤88.9
选择电阻阻值要选择市场上能够买到的型号和功率段为宜,选择阻值75欧。
根据实际的情况可以在计算的数值功率上适当的扩大。
其他方面资料
制动过程:
1、当电机在外力作用下减速、反转时(包括被拖动),电机即以发电状态运行,能量反馈回直流回路,使母线电压升高;
2、当直流电压到达制动单元开的状态时,制动单元的功率管导通,电流流过制动电阻;
3、制动电阻消耗电能为热能,电机的转速降低,母线电压也降低;
4、母线电压降至制动单元要关断的值,制动单元的功率管截止,制动电阻无电流流过;
5、采样母线电压值,制动单元重复ON/OFF过程,平衡母线电压,使系统正常运行。
制动单元与制动电阻的选配:
1、首先估算出制动转矩
={(电机转动惯量+电机负载测折算到电机测的转动惯量)*(制动前速度-制动后速度)}/375*减速时间-负载转矩
一般情况下,在进行电机制动时,电机内部存在一定的损耗,约为额定转矩的18%-22%左右,因此计算出的结果在小于此范围的话就无需接制动装置。
2、接着计算制动电阻的阻值
=制动元件动作电压值的平方/(0.1047*(制动转矩-20%电机额定转矩)*制动前电机转速)
在制动单元工作过程中,直流母线的电压的升降取决于常数RC,R即为制动电阻的阻值,C为变频器内部电解电容的容量。这里制动单元动作电压值一般为710V。
3、然后进行制动单元的选择
在进行制动单元的选择时,制动单元的工作最大电流是选择的唯一依据,其计算公式如下: 制动电流瞬间值=制动单元直流母线电压值/制动电阻值
4、最后计算制动电阻的标称功率
由于制动电阻为短时工作制,因此根据电阻的特性和技术指标,我们知道电阻的标称功率将小于通电时的消耗功率,一般可用下式求得: 制动电阻标称功率 = 制动电阻降额系数 X 制动期间平均消耗功率 X 制动使用率%
制动特点:
能耗制动(电阻制动)的优点是构造简单,缺点是运行效率降低,特别是在频繁制动时将要消耗大量的能量,且制动电阻的容量将增大。
旭兴达自动化科技有限公司,为您提供专业的国产、进口变频器维修和变频器上门保养业务。维修变频器品牌:台达变频器维修、安川变频器维修、台安变频器维修、三菱变频器维修、汇川变频器维修、台安变频器维修、西门子变频器维修、富凌变频器维修、英威腾变频器维修、华为变频器维修、四方变频器维修、艾默生变频器维修、丹佛斯变频器维修、伟肯变频器维修、三垦变频器维修、施耐德变频器维修、PLC电源维修、伺服器维修、人机界面触摸屏维修以及现场工业设备维修等。了解更多详情请致电400-678-1180、0757-88357760
微信公众号: